Matemática: Fórmulas de álgebra
(La UPEA). Recursos para matemática.
Encuentra las fórmulas de:
Teorema de Pitágoras; Pendiente; Distancia entre dos puntos; Punto - Pendiente; Punto - Medio; Pendiente - Intersecto; Fórmula general; Parábola; Diferencia de cuadrados; ; Variación directa; Trinomio cuadrado perfecto; Suma o diferencia de cubos perfectos; Cambio de base; Interés compuesto continuamente; Logaritmo; Función logaritmo natural.
_
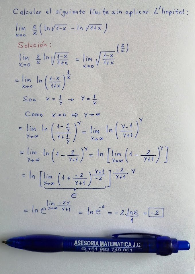
Matemática: Límites de una función
(La UPEA). Recursos sobre matemática.
Calcular el siguiente límite sin aplicar l’Hopital…
Matemática: Operaciones con fracciones
(La UPEA). Temas de matemática. Conoce las fórmulas de las operaciones confracciones.
_
Matemática: Integración por sustitución trigonométrica
(La UPEA). Aprendiendo y resolviendo problemas matemáticos.
Calcular la siguiente integral
Solución: Integrando por sustitución trigonométrica
_